Equilibrium visualisation
The raytrax.plot.plot2d module provides four helpers for inspecting
a magnetic configuration on a poloidal R–Z cross-section:
plot_magnetic_field_rz— contour lines of \(|B|\)plot_effective_radius_rz— flux-surface contours (\(\rho\))plot_electron_density_rz— filled colour map of \(n_e\)interpolate_rz_slice— raw interpolation data
This example uses the bundled W7-X equilibrium from raytrax.examples.w7x.
Loading the W7-X equilibrium
get_w7x_magnetic_configuration builds the magnetic configuration from the
bundled W7-X VMEC++ equilibrium. The result is cached on disk after the
first run.
import contextlib
import io
import warnings
import jax
jax.config.update("jax_enable_x64", True)
warnings.filterwarnings("ignore", category=DeprecationWarning, module="equinox")
warnings.filterwarnings("ignore", category=UserWarning, message=".*non-interactive.*")
import jax.numpy as jnp
import matplotlib.pyplot as plt
import numpy as np
from raytrax import RadialProfiles
from raytrax.examples.w7x import PortA, get_w7x_magnetic_configuration
from raytrax.plot.plot2d import (
plot_effective_radius_rz,
plot_electron_density_rz,
plot_magnetic_field_rz,
)
with contextlib.redirect_stdout(io.StringIO()):
mag_conf = get_w7x_magnetic_configuration()
# Evaluate at the toroidal angle of Port A (≈ 0°)
phi = np.deg2rad(PortA.D1.phi_deg)
rho_prof = jnp.linspace(0, 1, 200)
profiles = RadialProfiles(
rho=rho_prof,
electron_density=0.5 * (1.0 - rho_prof**2),
electron_temperature=3.0 * (1.0 - rho_prof**2),
)
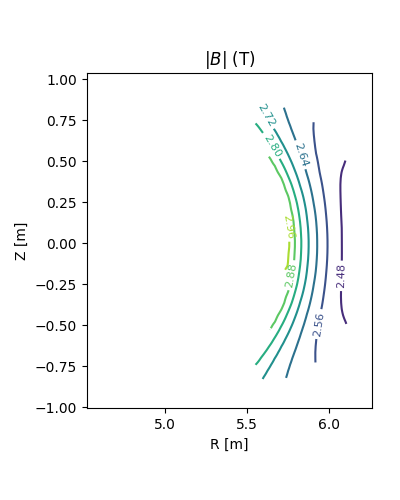
Magnetic field strength
plot_magnetic_field_rz draws contour lines of \(|B|\) in the R–Z plane.
Points outside the last closed flux surface (\(\rho > 1\)) are masked.
fig, ax = plt.subplots(figsize=(4, 5))
plot_magnetic_field_rz(mag_conf, phi=phi, ax=ax, levels=8)
ax.set_title(r"$|B|$ (T)")
plt.tight_layout()
plt.show()

Flux-surface contours
plot_effective_radius_rz overlays the \(\rho = 0.1, 0.2, \ldots, 1.0\)
contours. The W7-X cross-section is non-circular — the bean-shaped geometry
is clearly visible.
fig, ax = plt.subplots(figsize=(4, 5))
plot_effective_radius_rz(mag_conf, phi=phi, ax=ax)
ax.set_title(r"$\rho$ contours")
plt.tight_layout()
plt.show()

Electron density
plot_electron_density_rz maps \(n_e(\rho)\) onto the poloidal plane via a
filled contour plot.
fig, ax = plt.subplots(figsize=(4, 5))
plot_electron_density_rz(mag_conf, profiles, phi=phi, ax=ax)
ax.set_title(r"$n_e$ [$10^{20}$ m$^{-3}$]")
plt.tight_layout()
plt.show()
![\(n_e\) [\(10^{20}\) m\(^{-3}\)]](.././images/mkd_glr_plot_equilibrium_003.png)
Combining plots
All helpers return the active Axes object, so they can be layered on a
single figure.
fig, ax = plt.subplots(figsize=(4, 5))
plot_electron_density_rz(mag_conf, profiles, phi=phi, ax=ax)
plot_effective_radius_rz(mag_conf, phi=phi, ax=ax)
ax.set_title(r"$n_e$ with $\rho$ contours")
plt.tight_layout()
plt.show()

Total running time of the script: ( 0 minutes 3.678 seconds)